Giancarlo M. Correa\(^1\), Cole Monnahan\(^2\), Jane Sullivan\(^3\), James T. Thorson\(^2\), Andre E. Punt\(^1\)
\(^1\)University of Washington, Seattle, WA
\(^2\)Alaska Fisheries Science Center, NOAA, Seattle, WA
\(^3\)Alaska Fisheries Science Center, NOAA, Juneau, AK
Stock and Miller (2021)
Limitations:
In the population:
The mean length-at-age at the start of the year (\(y=1\)):
\[\tilde{L}_{y,a} = L_{\infty}+(L_1 - L_{\infty})exp(-k(a-1))\]
\(a=1\) is first age in WHAM. Then, when \(y>1\):
\[\tilde{L}_{y,a} = \begin{cases} L_1, & \mbox{if } a=1 \\ \tilde{L}_{y-1,a-1}+(\tilde{L}_{y-1,a-1}-L_{\infty})(exp(-k)-1) & \mbox{otherwise} \end{cases}\]
Then, to calculate the mean length-at-age at any fraction of the year:
\[L_{y,a} = \tilde{L}_{y,a} + (\tilde{L}_{y,a} - L_{\infty})(exp(-kf_y)-1)\] \(f_y\) is the year fraction.
Also, \(L_{y,a}\) and variation of length-at-age ( \(\sigma_{y,a}\) ) are used to calculate the age-length transition matrix (Stock Synthesis - SS - approach):
\[\varphi_{y,l,a} = \begin{cases} \Phi(\frac{L'_{min}-L_{y,a}}{\sigma_{y,a}}) & \mbox{for } l=1 \\ \Phi(\frac{L'_{l+1} - L_{y,a}}{\sigma_{y,a}}) - \Phi(\frac{L'_{l} - L_{y,a}}{\sigma_{y,a}}) & \mbox{for } 1<l<n_L \\ 1-\Phi(\frac{L'_{max} - L_{y,a}}{\sigma_{y,a}}) & \mbox{for } l = n_L \end{cases}\]
Where \(\Phi\) is standard normal cumulative density function, \(L'_{l}\) is the lower limit of length bin \(l\), \(L'_{min}\) is the upper limit of the smallest length bin, \(L'_{max}\) is the lower limit of the largest length bin, and \(n_L\) is the largest length bin index.
Random effects on growth parameters can be predicted (notice log scale):
\[log(L_{\infty_t}) = \mu_{L_\infty} + \delta_{1,t}\]
\[log(k_t) = \mu_{k} + \delta_{2,t}\]
\[log(L_{1_t}) = \mu_{L_1} + \delta_{3,t}\]
\(t\) represents year or cohort effects and can be \(iid\) or \(AR1\).
For this case, mean length-at-age ( \(\mu_{\tilde{L}_{a}}\), notice log scale ) are assumed to be parameters and can be estimated. \(\sigma_{y,a}\) still needed.
Time variability can be modeled by predicting random effects:
\[log(\tilde{L}_{y,a}) = \mu_{\tilde{L}_{a}} + \delta_{y,a}\]
\(\delta_{y,a}\) can be \(iid\) or \(2dAR1\) (full variance-covariance matrix).
Optional when empirical weight-at-age not provided:
\[w_l = \Omega_1 l^{\Omega_2}\]
Random effects on \(\Omega_1\) and \(\Omega_2\) can also be predicted.
Then:
\[\hat{w}_{y,a} = \sum_l \varphi_{y,l,a}w_l\]
\(\hat{w}_{y,a}\) can also be fitted to \(w_{y,a}\) (observed mean weight-at-age)
Like the LAA random effects. Mean weight-at-age ( \(\mu_{\tilde{W}_{a}}\), notice log scale ) are assumed to be parameters and can be estimated.
Time variability can be modeled by predicting random effects:
\[log(\tilde{W}_{y,a}) = \mu_{\tilde{W}_{a}} + \delta_{y,a}\]
\(\delta_{y,a}\) can be \(iid\) or \(2dAR1\) (full variance-covariance matrix).
Data:
Parameters (penalized ML for time-varying quantities):
ADMB model vs WHAM model
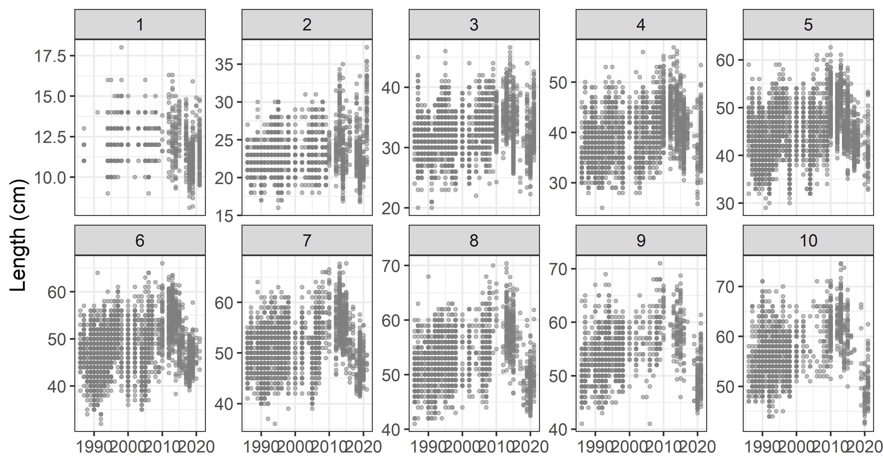
Observed survey fish lengths:
Mean SSB estimates:
SSB coefficient of variation:
Growth parameters (only for growth parametric approach):
Predicted mean length-at-age (Jan 1st) vs survey observations (\(\sim\) March 1st, not included in the model):
AIC values for models with same input data:
| Model name | (Marginal) AIC | \(\Delta\) AIC |
|---|---|---|
| LAA random effects (\(iid\)) | 827.9 | 0 |
| vB equation (\(iid_y\)) | 4047.2 | 3219.3 |
| vB equation (\(iid_c\)) | 4773.2 | 3945.3 |
| WAA random effects (\(iid\)) | 1188.5 | 360.6 |




Cole Monnahan, Jane Sullivan, Jim Thorson, Andre Punt, Tim Miller, Jim Ianelli, Brian Stock
Contact:
gcorrea@uw.edu
giancarlo.correa@noaa.gov
Find more information:
tinyurl.com/wham-growth