Giancarlo M. Correa\(^1\), Cole Monnahan\(^2\), Jane Sullivan\(^3\), James T. Thorson\(^2\), Andre E. Punt\(^1\)
\(^1\)University of Washington, Seattle, WA
\(^2\)Alaska Fisheries Science Center, NOAA, Seattle, WA
\(^3\)Alaska Fisheries Science Center, NOAA, Juneau, AK
Growth in fishes
Morais and Bellwood (2020)
Important contributor to biomass variability

Stawitz and Essington (2019)
External factors that affect growth variability

Wilson et al. (2019)
Allows separation and estimation of both observation and process errors.
Observation equation: \(E[Y_t \mid X_t]= g(X_t,\theta)\)
Process equation: \(E[X_t \mid X_{t-1}] = h(X_{t-1},\theta)\)
\(X_t\) is the unobserved state at time step \(t\) and \(Y_t\) are observations. \(\theta\) is the vector of all unknown model parameters (fixed effects). \(X_t\) treated as random effects (Aeberhard et al. 2018).
Why use them? (Aeberhard et al. 2018, Stock and Miller, 2021)
handle structural breaks, time-varying parameters
handle missing observations
can be used to do forecasting
model complex and nonlinear relationships
less retrospective bias
Stock and Miller (2021)
Limitations:
Both are important sources of information to model growth internally.
In the population:
The mean length-at-age at the start of the year (\(y=1\)):
\[\tilde{L}_{y,a} = L_{\infty}+(L_1 - L_{\infty})exp(-k(a-1))\]
\(a=1\) is first age in WHAM. Then, when \(y>1\):
\[\tilde{L}_{y,a} = \begin{cases} L_1, & \mbox{if } a=1 \\ \tilde{L}_{y-1,a-1}+(\tilde{L}_{y-1,a-1}-L_{\infty})(exp(-k)-1) & \mbox{otherwise} \end{cases}\]
Then, to calculate the mean length-at-age at any fraction of the year:
\[L_{y,a} = \tilde{L}_{y,a} + (\tilde{L}_{y,a} - L_{\infty})(exp(-kf_y)-1)\] \(f_y\) is the year fraction.
Random effects on growth parameters can be predicted (notice log scale):
\[log(L_{\infty_t}) = \mu_{L_\infty} + \delta_{1,t}\]
\[log(k_t) = \mu_{k} + \delta_{2,t}\]
\[log(L_{1_t}) = \mu_{L_1} + \delta_{3,t}\]
\(t\) represents year or cohort effects and can be \(iid\) or \(AR1\).
For this case, mean length-at-age ( \(\mu_{\tilde{L}_{a}}\), notice log scale ) are assumed to be parameters and can be estimated. \(\sigma_{y,a}\) still needed.
Time variability can be modeled by predicting random effects:
\[log(\tilde{L}_{y,a}) = \mu_{\tilde{L}_{a}} + \delta_{y,a}\]
\(\delta_{y,a}\) can be \(iid\) or \(2dAR1\) (full variance-covariance matrix).
Also, \(L_{y,a}\) and variation of length-at-age ( \(\sigma_{y,a}\) ) are used to calculate the age-length transition matrix (Stock Synthesis - SS - approach):
\[\varphi_{y,l,a} = \begin{cases} \Phi(\frac{L'_{min}-L_{y,a}}{\sigma_{y,a}}) & \mbox{for } l=1 \\ \Phi(\frac{L'_{l+1} - L_{y,a}}{\sigma_{y,a}}) - \Phi(\frac{L'_{l} - L_{y,a}}{\sigma_{y,a}}) & \mbox{for } 1<l<n_L \\ 1-\Phi(\frac{L'_{max} - L_{y,a}}{\sigma_{y,a}}) & \mbox{for } l = n_L \end{cases}\]
Where \(\Phi\) is standard normal cumulative density function, \(L'_{l}\) is the lower limit of length bin \(l\), \(L'_{min}\) is the upper limit of the smallest length bin, \(L'_{max}\) is the lower limit of the largest length bin, and \(n_L\) is the largest length bin index.

Optional when empirical weight-at-age not provided:
\[w_l = \Omega_1 l^{\Omega_2}\]
Random effects on \(\Omega_1\) and \(\Omega_2\) can also be predicted.
Then:
\[\hat{w}_{y,a} = \sum_l \varphi_{y,l,a}w_l\]
\(\hat{w}_{y,a}\) can also be fitted to \(w_{y,a}\) (observed mean weight-at-age)
Like the LAA random effects. Mean weight-at-age ( \(\mu_{\tilde{W}_{a}}\), notice log scale ) are assumed to be parameters and can be estimated.
Time variability can be modeled by predicting random effects:
\[log(\tilde{W}_{y,a}) = \mu_{\tilde{W}_{a}} + \delta_{y,a}\]
\(\delta_{y,a}\) can be \(iid\) or \(2dAR1\) (full variance-covariance matrix).
Originally, only selectivity-at-age functions were available (age-specific, logistic, double-logistic, decreasing-logistic)
New functions added:
double-normal: by age. SS-like (Methot and Wetzel, 2013)
len-logistic: increasing logistic at length
len-decreasing-logistic: by length
len-double-normal: by length
WHAM separates process (random walk or AR) and observation error for environmental covariates.
An environmental covariate can be linked to a state (i.e. parameter):
\[P_t = P exp(\beta_1 X_t)\]
\(P\) is the base state (parameter) value. Other links are also available (polynomials). Lags can be modeled.
Using SS ( ss3sim, Anderson et al., 2014 ), we simulated data that was then incorporated into WHAM.
Simulated data:
We implemented three models in WHAM:
iid_y) on \(L_\infty\)iid) on mean length-at-age (LAA)Simulated data:
CAAL residuals:
Estimated selectivity-at-length:
Simulated data:
Data:
Parameters (penalized ML for time-varying quantities):
ADMB model vs WHAM model
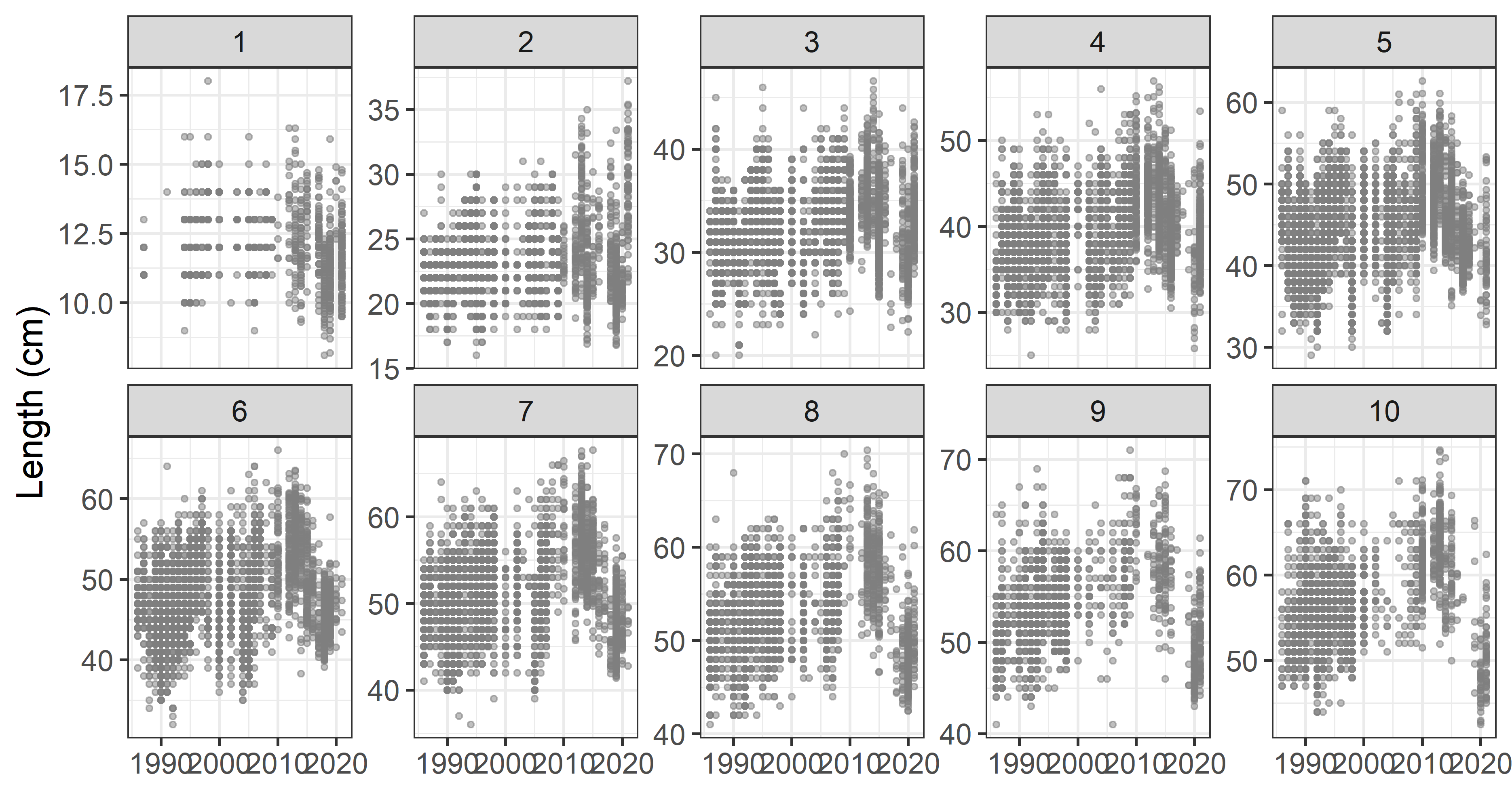
Observed survey fish lengths:
Mean SSB estimates:
SSB coefficient of variation:
Growth parameters (only for growth parametric approach):
Predicted mean length-at-age (Jan 1st) vs survey observations (\(\sim\) March 1st, not included in the model):
AIC values for models with same input data:
| Model name | (Marginal) AIC | \(\Delta\) AIC |
|---|---|---|
| LAA random effects (\(iid\)) | 816.7 | 0 |
| vB equation (\(iid_y\)) | 4036.6 | 3219.9 |
| vB equation (\(iid_c\)) | 4761.9 | 3945.2 |
| WAA random effects (\(iid\)) | 1177.2 | 360.5 |




Cole Monnahan, Jane Sullivan, Jim Thorson, Andre Punt, Tim Miller, Jim Ianelli, Brian Stock
Contact:
gcorrea@uw.edu
giancarlo.correa@noaa.gov
Find more information:
tinyurl.com/wham-growth